Rodzice uczniów zapowiadają walkę o przyszłość szkoły w Gogolicach. Władze Trzcińska Zdroju chcą zlikwidować placówkę, rocznie gmina wydaję ponad 7 milionów złotych na oświatę przy budżecie ok 20 milionów złotych.
O zamiarze likwidacji placówki pisaliśmy w artykule Szkoła do likwidacji, władze gminy organizują spotkanie z rodzicami.
- Niska liczba uczniów, poprawa warunków nauczania i racjonalizacja kosztów oświaty to trzy główne przesłanki do tego aby zreformować oświatę w naszej gminie - tłumaczy w rozmowie z nami wiceburmistrz Emilian Osetek.
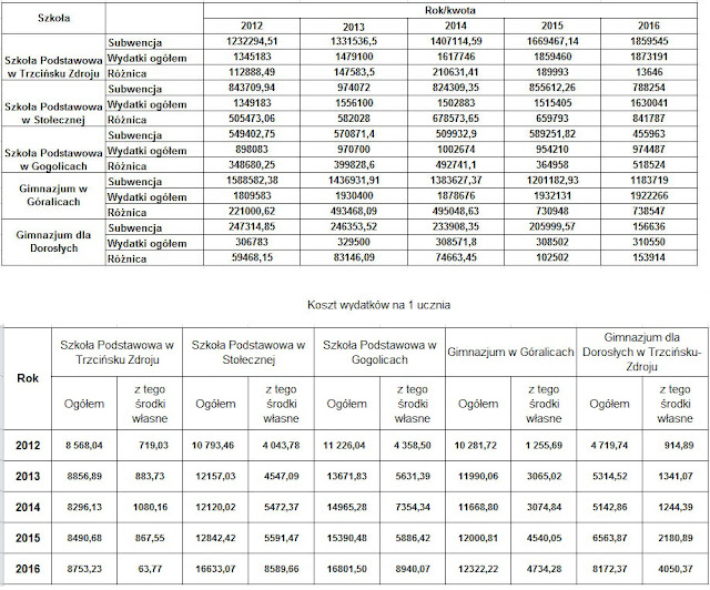
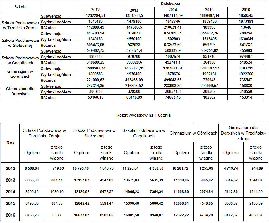
Gminy pomimo subwencji z budżetu państwa dopłacają do każdej funkcjonującej szkoły. W 2016 roku kosztu funkcjonowania szkoły w Gogolicach wyniósł 974 487 złotych, kwota subwencji to 455 963 złote. Gmina dopłaciła 518 524 złote.
- Na zebraniach przedwyborczych, które odbywały się w budynku, z którego korzysta Szkoła było zapewnienie, że Szkoła będzie dalej działała. (...) Uważamy, że należy poszukiwać innych rozwiązań problemów gminnej oświaty, a w szczególności w dobie reform wprowadzonych odgórnie przez władze RP - czytamy w komunikacie Stowarzyszenia Przyjaciół Szkoły Podstawowej w Gogolicach, przesłanym do naszej redakcji.
Urząd Miejski w Trzcińsku Zdroju udostępnił zestawienie wydatków na oświatę. Oprócz szkoły w Gogolicach, gmina najwięcej dokłada też do placówki w Stołecznej. W tej ostatniej szkole rozważano możliwość utworzenia od września klas 1-3, ten pomysł jednak najprawdopodobniej nie będzie zrealizowany i w szkole będą funkcjonować klasy 1-8.
W poniedziałek o godz. 17 w szkole w Gogolicach odbędzie się spotkanie z wiceburmistrzem Emilianem Osetkiem, dwa dni wcześniej, w sobotę, również o godz. 17 debatę organizują rodzice. Wcześniej do miejscowości mają przyjechać przedstawiciele kuratorium i prawdopodobnie parlamentarzyści Prawa i Sprawiedliwości.


